Observação: nessa postagem a palavra "espécie" está sendo usada para não restringir os reagentes e produtos em questão, mas quando você ler a palavra "espécie" imagine uma molécula, ácido, base, sal ou metal. Ok?
Reações de oxidação e redução (redox) são aquelas reações químicas em que ocorre transferência de elétrons entre os reagentes para a formação dos produtos.
Uma oxidação não pode acontecer sem uma redução e vice versa, porque o elétron tem que sair de um lugar e ir para outro. Ele não surge do nada e não some. Por isso, chamamos as reações com transferências de elétrons de REDOX, evidenciando que os dois ocorrem ao mesmo tempo.
A espécie que oxiDA dá elétrons.
A espécie que REduz, recebe elétrons.
Se ele dá elétrons (oxida), ele precisa dar esse elétron para alguém, então ele faz outra espécie receber esse elétron; assim ele é o agente redutor.
Se ele recebe elétrons (reduz), ele precisou receber esse elétron de alguém, então ele faz outra espécie doar elétrons para ele; assim ele é o agente oxidante.
Entretanto, na prática, esses elétrons muitas vezes são transferidos junto com átomos e é difícil ver os elétrons isoladamente sendo transferidos. Então, usamos uma estratégia que é olhar o número de oxidação.
A tabela periódica organiza os elementos químicos que conhecemos em ordem crescente de prótons no núcleo.
Os átomos são compostos por prótons com carga positiva, nêutrons com carga neutra e elétrons com carga negativa. E se é um átomo, ele possui a mesma quantidade de prótons e elétrons. Entretanto, muitas vezes os átomos não ficam estáveis dessa forma e eles "querem" doar ou receber elétrons para ficar estáveis. Estável significa ter menor energia. Farei uma outra postagem explicando os fatores cinéticos e termodinâmicos envolvidos nessa ideia que os átomos tendem a buscar a estabilidade.
Agora, para saber o número de oxidação, conhecido como NOX de um elemento químico, precisamos primeiro pensar em quantos elétrons ele deveria ter (a mesma quantidade de prótons). Depois vemos quantos elétrons esse átomo está na molécula, ácido, base ou sal. Se ele ganhou elétrons, o NOX dele é o número de elétrons ganhos com sinal negativo. Se ele perdeu elétrons, o NOX dele é o número de elétrons perdidos com sinal positivo.
Analisando quantos elétrons tem em cada elemento químico dos reagentes e produtos conseguimos ver quem doou e quem recebeu elétrons.
Didaticamente separamos o oxidação e a redução em semi-reações, para visualizar os elétrons envolvidos. Quando fazemos isso, podemos calcular quanto de energia liberada ou absorvida quando a espécie ganha elétrons. Essa energia é chamada de potencial de redução padrão (Eº) e pode ser consultado na tabela abaixo:

Quando vamos colocar duas espécies em contato, uma vai doar elétrons para a outra.
Comparando os potenciais de redução de duas espécies, o que tiver maior potencial de redução será o que vai reduzir. Então, a outra vai oxidar.
Para facilitar o estudo dos potenciais de redução das espécies, podemos usar o Diagrama de Latimer que escreve as espécies envolvidas conectadas por uma seta da esquerda para a direita com o potencial padrão em volts para aquela transferência de elétrons. As espécies que estão mais à esquerda são as que possuem mais elétrons e as setas para a direita indicam as perdas de elétrons. Assim, a seta indica a oxidação da espécie que estava à esquerda e diz quanto de energia é a absorvida (potencial negativo, não espontâneo) ou liberada (potencial positivo, espontâneo). Para decorar isso, podemos pensar que como a natureza busca estabilidade, ou seja, estar em um estado de mais baixa energia, receber energia é uma coisa "ruim", negativa. Mas que fique claro que essa associação é meramente didática, porque absorver energia é o que move o mundo e o faz ser como ele é.
Uma outra maneira de ilustrar esse ganho ou perda de energia é usando o Diagrama de Frost, que é um gráfico que relaciona a energia interna da espécie no eixo y com o número de oxidação (NOX) da espécie no eixo x. Nesse gráfico, quanto mais para a direita mais elétrons ele perdeu e quanto mais para baixo mais estável é a espécie.
Notação de célula eletrolítica:
Eletrodo de referência│ponte salina com potencial de junção│solução com analito│Eletrodo indicador
Veja também:
Química Analítica 2: Volumetria potenciométrica - Eletrodos de Referência
Química Analítica 2: Volumetria potenciométrica - Eletrodos Indicadores
Química Analítica 2: Volumetria Redox
Se ele pede a equação global:
1. Olhar na tabela de potencial padrão (acima) quais são as espécies mais parecidas com as que ele dá na questão. Se ele fala que é em meio ácido, considere a equação que possui H+.
2. Escreva no papel essas duas equações (chamada semi-reações) para você conseguir ver quais espécies ganham quantos elétrons.
3. Olhe o potencial padrão de cada semi-reação. A que tiver o maior potencial padrão vai reduzir (receber elétrons). A que tiver o menor potencial padrão vai oxidar (doar elétrons).
4. Inverta os reagentes e produtos da espécie que tem o menor potencial padrão para ver a oxidação que ocorrerá e mude o sinal (positivo/negativo) do potencial padrão indicado em volts.
5. Agora, você precisa juntar as duas reações, mas o número de elétrons presentes em uma reação tem que ser igual ao número de elétrons na outra reação para que eles se cancelem. Então, você vai multiplicar as semi-reações por um número que faça com que todos os elétrons de uma espécie sejam transferidos para a outra.
6. Arrume a reação para que fique escrito da forma mais clara possível. Houver a mesma espécie nos reagentes e produtos, subtraia uma da outra e deixe a quantidade restante no lado que tinha mais daquela espécie.
Se ele pede o potencial da semi-célula:
1. Olhe na tabela de potencial padrão (acima) qual reação tem as espécies que o exercício pede.
2. Escreva no papel essas semi-reações com seus potenciais padrões (Eº) em volts, sem mudar nada.
3. Aplique a Equação de Nernst para cada reação, sem mudar nada, ou seja, com as semi-reações no sentido da redução como aparece na tabela e com o potencial padrão de redução.
E = Eº - (0,0592/n) * log ([produto]/[reagente]), sendo n o número de elétrons envolvido na semi-reação concentração é a dada no exercício. Assim, você terá o potencial padrão de cada semi-célula.
Se ele pede o potencial da eletrólise, da célula eletroquímica ou da potenciometria eletrólise:
1. Descobrir o potencial de cada semi-célula usando a Equação de Nernst como descrito acima.
2. O potencial da célula eletroquímica será o potencial da redução menos o potencial da oxidação.
Ecélula= Eredução- Eoxidação
Se a questão deu o desenho da célula, você usará o potencial da semi-célula da direita menos o potencial da semi-célula da direita.
Ecélula= Edireita- Eesquerda
Se ele pergunta se a reação é espontânea ou não:
1. Se o sinal do potencial da célula deu positivo, a reação é espontânea e vai liberar energia.
2. Se deu positivo não é espontânea e precisará de uma fonte de energia para acontecer, ou seja, a célula consome energia.
Reações de oxidação e redução (redox) são aquelas reações químicas em que ocorre transferência de elétrons entre os reagentes para a formação dos produtos.
Uma oxidação não pode acontecer sem uma redução e vice versa, porque o elétron tem que sair de um lugar e ir para outro. Ele não surge do nada e não some. Por isso, chamamos as reações com transferências de elétrons de REDOX, evidenciando que os dois ocorrem ao mesmo tempo.
A espécie que oxiDA dá elétrons.
A espécie que REduz, recebe elétrons.
Se ele dá elétrons (oxida), ele precisa dar esse elétron para alguém, então ele faz outra espécie receber esse elétron; assim ele é o agente redutor.
Se ele recebe elétrons (reduz), ele precisou receber esse elétron de alguém, então ele faz outra espécie doar elétrons para ele; assim ele é o agente oxidante.
Entretanto, na prática, esses elétrons muitas vezes são transferidos junto com átomos e é difícil ver os elétrons isoladamente sendo transferidos. Então, usamos uma estratégia que é olhar o número de oxidação.
A tabela periódica organiza os elementos químicos que conhecemos em ordem crescente de prótons no núcleo.
Os átomos são compostos por prótons com carga positiva, nêutrons com carga neutra e elétrons com carga negativa. E se é um átomo, ele possui a mesma quantidade de prótons e elétrons. Entretanto, muitas vezes os átomos não ficam estáveis dessa forma e eles "querem" doar ou receber elétrons para ficar estáveis. Estável significa ter menor energia. Farei uma outra postagem explicando os fatores cinéticos e termodinâmicos envolvidos nessa ideia que os átomos tendem a buscar a estabilidade.
Agora, para saber o número de oxidação, conhecido como NOX de um elemento químico, precisamos primeiro pensar em quantos elétrons ele deveria ter (a mesma quantidade de prótons). Depois vemos quantos elétrons esse átomo está na molécula, ácido, base ou sal. Se ele ganhou elétrons, o NOX dele é o número de elétrons ganhos com sinal negativo. Se ele perdeu elétrons, o NOX dele é o número de elétrons perdidos com sinal positivo.
Analisando quantos elétrons tem em cada elemento químico dos reagentes e produtos conseguimos ver quem doou e quem recebeu elétrons.
Didaticamente separamos o oxidação e a redução em semi-reações, para visualizar os elétrons envolvidos. Quando fazemos isso, podemos calcular quanto de energia liberada ou absorvida quando a espécie ganha elétrons. Essa energia é chamada de potencial de redução padrão (Eº) e pode ser consultado na tabela abaixo:

Quando vamos colocar duas espécies em contato, uma vai doar elétrons para a outra.
Comparando os potenciais de redução de duas espécies, o que tiver maior potencial de redução será o que vai reduzir. Então, a outra vai oxidar.
Para facilitar o estudo dos potenciais de redução das espécies, podemos usar o Diagrama de Latimer que escreve as espécies envolvidas conectadas por uma seta da esquerda para a direita com o potencial padrão em volts para aquela transferência de elétrons. As espécies que estão mais à esquerda são as que possuem mais elétrons e as setas para a direita indicam as perdas de elétrons. Assim, a seta indica a oxidação da espécie que estava à esquerda e diz quanto de energia é a absorvida (potencial negativo, não espontâneo) ou liberada (potencial positivo, espontâneo). Para decorar isso, podemos pensar que como a natureza busca estabilidade, ou seja, estar em um estado de mais baixa energia, receber energia é uma coisa "ruim", negativa. Mas que fique claro que essa associação é meramente didática, porque absorver energia é o que move o mundo e o faz ser como ele é.
Uma outra maneira de ilustrar esse ganho ou perda de energia é usando o Diagrama de Frost, que é um gráfico que relaciona a energia interna da espécie no eixo y com o número de oxidação (NOX) da espécie no eixo x. Nesse gráfico, quanto mais para a direita mais elétrons ele perdeu e quanto mais para baixo mais estável é a espécie.
Notação de célula eletrolítica:
Eletrodo de referência│ponte salina com potencial de junção│solução com analito│Eletrodo indicador
Veja também:
Química Analítica 2: Volumetria potenciométrica - Eletrodos de Referência
Química Analítica 2: Volumetria potenciométrica - Eletrodos Indicadores
Química Analítica 2: Volumetria Redox
Como fazer exercícios de redox, redução, oxidação, eletroquímica, eletrólise, pilha?
Se ele pede a equação global:
1. Olhar na tabela de potencial padrão (acima) quais são as espécies mais parecidas com as que ele dá na questão. Se ele fala que é em meio ácido, considere a equação que possui H+.
2. Escreva no papel essas duas equações (chamada semi-reações) para você conseguir ver quais espécies ganham quantos elétrons.
3. Olhe o potencial padrão de cada semi-reação. A que tiver o maior potencial padrão vai reduzir (receber elétrons). A que tiver o menor potencial padrão vai oxidar (doar elétrons).
4. Inverta os reagentes e produtos da espécie que tem o menor potencial padrão para ver a oxidação que ocorrerá e mude o sinal (positivo/negativo) do potencial padrão indicado em volts.
5. Agora, você precisa juntar as duas reações, mas o número de elétrons presentes em uma reação tem que ser igual ao número de elétrons na outra reação para que eles se cancelem. Então, você vai multiplicar as semi-reações por um número que faça com que todos os elétrons de uma espécie sejam transferidos para a outra.
6. Arrume a reação para que fique escrito da forma mais clara possível. Houver a mesma espécie nos reagentes e produtos, subtraia uma da outra e deixe a quantidade restante no lado que tinha mais daquela espécie.
Se ele pede o potencial da semi-célula:
1. Olhe na tabela de potencial padrão (acima) qual reação tem as espécies que o exercício pede.
2. Escreva no papel essas semi-reações com seus potenciais padrões (Eº) em volts, sem mudar nada.
3. Aplique a Equação de Nernst para cada reação, sem mudar nada, ou seja, com as semi-reações no sentido da redução como aparece na tabela e com o potencial padrão de redução.
E = Eº - (0,0592/n) * log ([produto]/[reagente]), sendo n o número de elétrons envolvido na semi-reação concentração é a dada no exercício. Assim, você terá o potencial padrão de cada semi-célula.
Se ele pede o potencial da eletrólise, da célula eletroquímica ou da potenciometria eletrólise:
1. Descobrir o potencial de cada semi-célula usando a Equação de Nernst como descrito acima.
2. O potencial da célula eletroquímica será o potencial da redução menos o potencial da oxidação.
Ecélula= Eredução- Eoxidação
Se a questão deu o desenho da célula, você usará o potencial da semi-célula da direita menos o potencial da semi-célula da direita.
Ecélula= Edireita- Eesquerda
Se ele pergunta se a reação é espontânea ou não:
1. Se o sinal do potencial da célula deu positivo, a reação é espontânea e vai liberar energia.
2. Se deu positivo não é espontânea e precisará de uma fonte de energia para acontecer, ou seja, a célula consome energia.
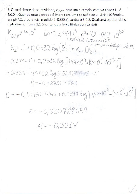
EXERCÍCIOS DE OXIREDUÇÃO / REDOX / ELETRÓLISE / ELETROQUÍMICA / PILHA
1. Calcule o
potencial teórico para cada uma das células abaixo. Conforme escrito, as
reações das células são espontâneas ou elas são espontâneas na direção oposta?
a) Pt|Cr3+ (1,00x10-4mol/L),
Cr2+ (2,00x10-3 mol/L) || Pb2+ (5,6x10-2 mol/L)|Pb
b) Hg | Hg22+
(2,00x10-2 mol/L) || H+ (1,00x10-2mol/L), V3+
(3,00x10-2mol/L), VO2+ (2,00x10-3mol/L) | Pt
c) Pt | Fe3+ (4,00x10-2mol/L),
Fe2+ (3,00x10-5mol/L
|| Sn2+ (5,50x10-2mol/L),
Sn4+(3,50x10-4mol/L)|Pt
2. Calcule o
potencial teórico das seguintes células. (Em cada caso assuma que as atividades
são aproximadamente iguais às concentrações molares e que a temperatura é igual
a 25°C.)
a) SCE || Fe3+
(0,0250mol/L), Fe2+ (0,0150mol/L | Pt
b) SCE || Zn2+ (0,002288mol/L) | Zn
c) Referência de Ag-AgCl
saturado || Ti3+ (0,0250mol/L), Ti2+
(0,0450mol/L) | Pt
d) Referência Ag-AgCl saturado || I3-
(0,00667mol/L), I- (0,00433mol/L) | Pt
3. A célula
foi usada para a determinação de pCrO42-:
SCE || CrO42- (xmol/L),
AgCrO4 (sat) | Ag
Calcule o
pCrO4 e o potencial da célula for igual a +0,386V.










As reações de oxidação e redução (reações redox) estão na essência de muitos processos químicos que moldam o mundo ao nosso redor. Essas reações nos ensinam sobre transformação e equilíbrio, refletindo como tudo está interconectado, desde a produção de energia até as funções vitais em nossos corpos. Compreender esses processos não apenas amplia nosso conhecimento científico, mas também nos inspira a buscar soluções mais sustentáveis e inovadoras. O estudo das reações redox é, portanto, uma jornada fascinante que conecta ciência, natureza e nossas necessidades cotidianas. https://www.multiend.com.br/
ResponderExcluirAs reações de oxidação e redução (reações redox) estão na essência de muitos processos químicos que moldam o mundo ao nosso redor. Essas reações nos ensinam sobre transformação e equilíbrio, refletindo como tudo está interconectado, desde a produção de energia até as funções vitais em nossos corpos. Compreender esses processos não apenas amplia nosso conhecimento científico, mas também nos inspira a buscar soluções mais sustentáveis e inovadoras. O estudo das reações redox é, portanto, uma jornada fascinante que conecta ciência, natureza e nossas necessidades cotidianas.
ResponderExcluir