Incentivando a Educação
Aulas Particulares: (61) 98451-0790
Páginas
Blog
Índice de Postagens
Sofia Bethlem
Escreva aqui o que você procura:
Translate
07/09/2019
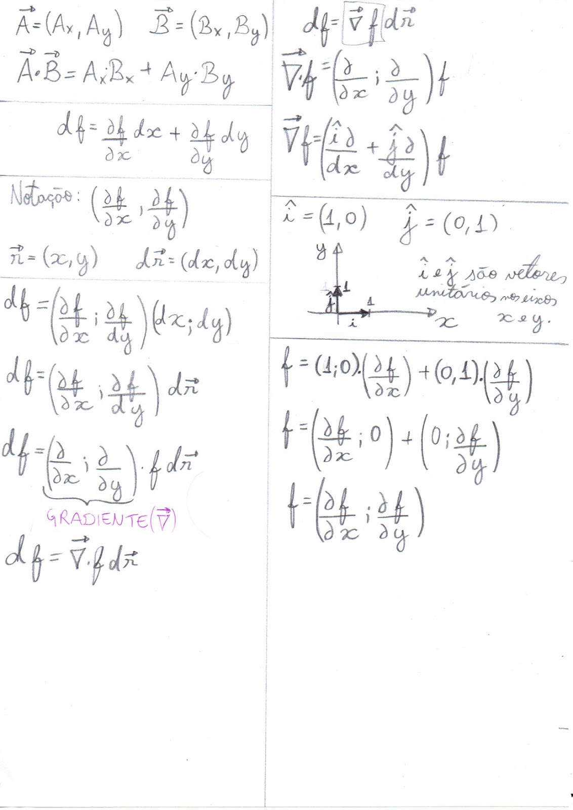
Física 3: Gradiente
Exercício: Calcule o campo elétrico devido a uma e duas partículas em um plano cartesiano utilizando gradiente.
Nenhum comentário:
Postar um comentário
Postagem mais recente
Postagem mais antiga
Página inicial
Assinar:
Postar comentários (Atom)
Nenhum comentário:
Postar um comentário