Percebemos o mundo por meio dos nossos sentidos: com o tato percebemos a temperatura, com a visão o tamanho e a distância das coisas. Usamos instrumentos de medidas para transformar o que percebemos em números. Então, vamos pensar em diferentes grandezas:
Distância
A distância entre dois pontos, que pode ser medida em metros, cm, polegadas, milhas, hectares... é a grandeza que nos permite perceber o tamanho de um objeto ou visualizar locais onde pessoas frequentaram, passearam ou estão. A distância seria a grandeza que responde à pergunta: aonde o objeto está? Ou seja, qual espaço o objeto ocupa? Então, em física chamamos esta grandeza de "S", que vem da palavra "space".
Tempo
O tempo divide o presente, passado e futuro. Para dizer quão passado ou futuro uma coisa aconteceu, usamos a unidade segundos, horas, semanas, meses, anos, séculos. Em física chamamos esta grandeza de "t", de tempo ou, em inglês, time.
Velocidade
Pense em uma pessoa correndo mega rápido. Agora pense em uma pessoa toda lenta. O que muda entre elas? O tempo que esta pessoa demora para chegar em cada lugar, certo? Então velocidade é isso: quanto de espaço uma pessoa consegue percorrer em um determinado tempo. Ou seja, velocidade é o espaço dividido pelo tempo. A unidade de medida mais frequentes são o m/s e o km/h.
Aceleração
Pense em um carro acelerando. O que acelerar significa? Ouvir esta palavra te faz ter a imagem de alguém em inércia dentro de um carro, né? Mas vamos além. Quando uma pessoa está atrasada e acelera mais dentro do carro, qual é o objetivo dela? Chegar mais rápido, né? Se é chegar mais rápido, significa que você quer mexer na velocidade do carro. Então, ao acelerar, você consegue reduzir o tempo que demora para percorrer aquela distância. O mesmo ocorre ao frear... o tempo continuará passando, mas conforme o tempo for passando vamos percorrer uma distância cada vez menor. Assim, a aceleração é a velocidade dividida pelo tempo.
Tipos de movimentos:
Se um corpo se movimenta, temos velocidade. Entretanto, esta velocidade pode ser constante (aceleração igual a zero) ou pode variar (aceleração diferente de zero).
Movimento Uniforme (MU): A velocidade é constante e a aceleração não existe. Então, a aceleração é igual a zero.
Movimento Uniformemente Variado (MUV): A aceleração é diferente de zero, mas como o movimento é uniforme, significa que a alteração da velocidade é uniforme, ou seja, a velocidade é constante.
Para quem está na faculdade: sabendo cálculo, limite, derivada e integral.
A velocidade é a derivada do deslocamento em função do tempo.
A aceleração é a derivada da velocidade em função do tempo.
A velocidade e a aceleração instantâneas são quando o limite da variação do tempo tende a zero.
A tangente do ângulo de inclinação da reta do gráfico da posição pelo tempo é a velocidade.
A explicação abaixo foi produzida com base nas aulas da Professora Marly Montero Muñoz (IF/UnB) e explica de forma clara e resumida a origem dessas fórmulas que temos que decorar em mecânica/cinemática. Uma lógica que eu nunca tinha visto antes para explicar de onde vieram as fórmulas do Movimento Uniformemente Variado.
De onde veio a Equação de Torricelli e para que ela serve???
1. Um foguete transportando um satélite é acelerado verticalmente a
partir da superfície terrestre. Após 1,38s de seu lançamento, o foguete
atravessa o topo de sua plataforma de lançamento a 78m acima do solo. Depois de
4,3s adicionais ele se encontra a 1,3km acima do solo. Calcule o módulo da
velocidade média do foguete, em quilômetros por hora, para o trecho do voo
correspondente ao intervalo de 4,3s. A resposta correta é: 1023,07.
2. Um leopardo africano está de tocaia a 14,7 m a leste de um jipe
blindado de observação. No instante t=0, o leopardo começa a perseguir um
antílope situado a 46,8 m a leste do observador. O leopardo corre ao longo de
uma linha reta. A análise posterior de um vídeo mostra que durante os 2,0 s iniciais do ataque, a coordenada x do
leopardo varia varia com o tempo de acordo com a equação x=14,7m+(2,6m/s2)t2.
Determine o deslocamento do leopardo durante o intervalo entre t1=1,0 s e
t2=2,0 s. A resposta correta é: 7,8.
3. Um gato sobe num parapeito e salta até o chão em 0,89 segundo. Qual
é a sua rapidez ao atingir o chão? Despreze a resistência do ar e considere g =
9,83m/s². A resposta correta é: 8,75 m/s.
4. Um carro para em um semáforo. A seguir ele percorre um trecho
retilíneo de modo que sua distância ao sinal é dada por x(t) = bt2 –
ct3, onde b = 2,3m/s² e c = 0,48m/s³. Determine o módulo da
velocidade do carro em t = 3,3s. Dê sua resposta no SI. A resposta correta é: 0,50.
5. Do alto do terraço de um edifício de altura H = 100 m um objeto e
arremessado verticalmente para cima, num local onde a aceleração da gravidade
possui módulo constante g = 9, 8 m/s2 e
a resistência do ar é considerada desprezível. Na descida ele passa rente ao
edifício atingindo o solo com uma velocidade cujo modulo é 58,6. Determine em
m/s a velocidade de lançamento do objeto. A
resposta correta é: 38,4.
6. Se a posição de uma partícula é dada por x(t) = 18 - 19t + 8t2
(onde t está em segundos e x em metros), qual é o módulo da velocidade da
partícula em t = 2,8s? A resposta correta é: 25,80.
7. Começando de um pilar, você corre 395m de oeste para leste (sentido
do eixo +Ox) com uma velocidade média de módulo igual a 5,9m/s e, a seguir,
corre 367m de leste para oeste com uma velocidade média, em módulo, igual a
3,3m/s até um poste. Determine a sua velocidade escalar média (ou rapidez
média) do pilar até o poste. A resposta
correta é: 4,28.
8. Qual é, em m/s2, o módulo da aceleração de um veículo
que altera sua velocidade de 137 km/h para uma parada total de 13,2 s? A resposta correta é: 2,9.
Resoluções:
Resoluções:
MAIS EXERCÍCIOS
1. A equação
x(t) = 3t − 2 fornece a posição de uma partícula, onde x(t) esta em metros e t
em segundos. Nessa situação, a velocidade v da referida partícula não é
constante. Escolha uma:
A resposta correta é: Falso.
2. A figura
mostra um gráfico da velocidade em função do tempo, para um objeto em movimento
durante um intervalo de tempo especı́fico. Qual das seguintes afirmações está
correta?
Escolha uma:
a. A
aceleração do objeto é constante.
b. A
aceleração do objeto é zero.
c. A
aceleração do objeto é positiva e diminui em módulo.
d. A
aceleração do objeto é positiva e aumenta em módulo.
e. A
aceleração do objeto é negativa e diminui em módulo.
Sua resposta está incorreta.
A resposta correta é: A aceleração do objeto é positiva e diminui em
módulo..
3. A posição
de uma partícula que se move ao longo do eixo x é dada por x = 12,29 + 14,45t3,
onde x está em centímetros e t em segundos. Calcule, em m/s², o módulo a
aceleração da partícula em t = 3,0s.
A resposta correta é: 2,60.
4. Além do
velocímetro, no painel de cada carro existe um hodômetro, que registra a
distância percorrida. Se a marcação do mesmo for zerada no início de uma
viagem, em uma leitura de 24,4 km for feita meia hora depois, qual terá sido
sua rapidez média em km/h?
A resposta correta é: 48,8 km/h.
5. A tabela
abaixo mostra a posição do atleta Usain Bolt em função do tempo durante a prova
de atletismo na qual ele bateu o recorde mundial dos 100m rasos, fazendo o
incrível tempo de 9,58s.
Utilizando
somente a tabela acima, determine o módulo, em km/h, da maior velocidade média
atingida pelo atleta. Dê sua resposta com três algarismos significativos.
A resposta correta é: 44,4.
6. A
velocidade de um objeto é dada por vx(t)=α-βt2, onde α
=9,2m/s e β=1,7m/s3.
Para t = 0 s o objeto está em x = 0 m. DETERMINE, em metros, a distância
positiva máxima entre o objeto e a origem.
Lembre-se das relações: integral da velocidade do deslocamento e
derivada da velocidade da aceleração.
Tente lembrar também das relações do cálculo de máximo e mínimo de
funções.
A resposta correta é: 14,3.
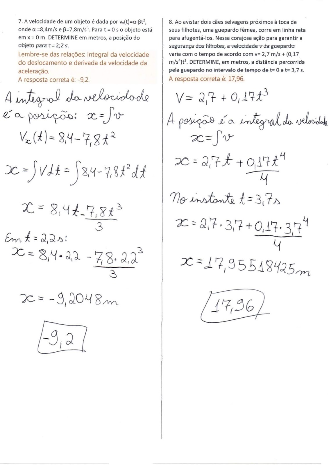
7. A velocidade
de um objeto é dada por vx(t)=α-βt2, onde α =8,4m/s
e β=7,8m/s3.
Para t = 0 s o objeto está em x = 0 m. DETERMINE em metros, a posição do objeto
para t = 2,2 s.
Lembre-se das relações: integral da velocidade do deslocamento e
derivada da velocidade da aceleração.
A resposta correta é: -9,2.
8. Ao
avistar dois cães selvagens próximos à toca de seus filhotes, uma guepardo
fêmea, corre em linha reta para afugentá-los. Nessa corajosa ação para garantir
a segurança dos filhotes, a velocidade v da guepardo varia com o tempo de
acordo com v= 2,7 m/s + (0,17 m/s4)t3. DETERMINE, em
metros, a distância percorrida pela guepardo no intervalo de tempo de t= 0 a t=
3,7 s.
A resposta correta é: 17,96.
9. Ao
avistar dois cães selvagens próximos à toca de seus filhotes, uma guepardo
fêmea, corre em linha reta para afugentá-los. Nessa corajosa ação para garantir
a segurança dos filhotes, a velocidade v da guepardo varia com o tempo de
acordo com v= 4,4 m/s + (0,19 m/s4)t3. DETERMINE, em
km/h, a velocidade média da guepardo no intervalo de tempo de t= 0,3 s a t= 4,3
s.
A resposta correta é: 30,46.
10. Começando
de um pilar, você corre 305m de oeste para leste (sentido do eixo +Ox)
com uma velocidade média de módulo igual a 4,6m/s e, a seguir, corre 348m de
leste para oeste com uma velocidade média, em módulo, igual a 6,6m/s até um
poste. Determine a sua velocidade escalar média (ou rapidez média) do pilar até
o poste.
A resposta correta é: 5,49.
11. Do alto
do terraço de um edifício de altura H = 100 m um objeto e arremessado
verticalmente para cima, num local onde a aceleração da gravidade possui módulo
constante g = 9, 8 m/s2 e a
resistência do ar é considerada desprezível. Na descida ele passa rente ao
edifício atingindo o solo com uma velocidade cujo modulo é 58,5. Determine em
m/s a velocidade de lançamento do objeto.
Perceba que o enunciado não faz referência ao tempo de queda. Sendo
assim, tente usar a equação de torricelli.
A resposta correta é: 38,2.
12. Em um
soco direto de caratê, o punho começa em repouso na cintura e é movido
rapidamente para frente até o braço ficar completamente estendido. A velocidade
v(t) do punho está representada na figura para o caso de um lutador experiente.
A escala vertical é definida por vs = 12m/s. Qual é a distância, em
centímetros, percorrida pelo punho desde o início do golpe até o instante t =
50 ms?
A resposta correta é: 19,50.
13. Julgue
os itens abaixo atribuindo (V) para os verdadeiros e (F) para os falsos.
*Se um
objeto se move com uma velocidade uniforme em uma linha reta, então sua
velocidade instantânea no meio do percurso, para somente a metade do intervalo
de tempo, é igual à sua velocidade média.
*Se um
objeto se move com uma velocidade uniforme em uma linha reta, então sua
velocidade instantânea no meio do percurso, para qualquer intervalo de tempo, é
igual à sua velocidade média.
*Um objeto é
deixado cair do repouso perto da superfı́cie da Terra. Se o intervalo de tempo
durante o qual ele cai é duplicado, desprezando a resistência do ar, a
distância percorrida é multiplicada por um fator quatro.
*Um objeto é
deixado cair do repouso perto da superfı́cie da Terra. Se o intervalo de tempo
durante o qual ele cai é multiplicada por um fator quatro, desprezando a
resistência do ar, a distância percorrida é duplicado.
A resposta correta é: Se um objeto se move
com uma velocidade uniforme em uma linha reta, então sua velocidade instantânea
no meio do percurso, para somente a metade do intervalo de tempo, é igual
à sua velocidade média. → F, Se um objeto se move com uma velocidade uniforme
em uma linha reta, então sua velocidade instantânea no meio do percurso, para
qualquer intervalo de tempo, é igual à sua velocidade média. → V, Um objeto é
deixado cair do repouso perto da superfı́cie da Terra. Se o intervalo de tempo
durante o qual ele cai é duplicado, desprezando a resistência do ar, a distância
percorrida é multiplicada por um fator quatro. → V, Um objeto é deixado cair do
repouso perto da superfı́cie da Terra. Se o intervalo de tempo durante o qual
ele cai é multiplicada por um fator quatro, desprezando a resistência do ar, a
distância percorrida é duplicado. → F
14. No
momento em que um semáforo fica verde, um veículo que estava parado começa a
mover-se com aceleração constante de módulo igual a 2,64m/s². No mesmo
instante, um caminhão que se desloca com velocidade constante de módulo igual a
14,2m/s ultrapassa o veículo. Qual deve ser a distância percorrida, em metros,
a partir do sinaleiro, para que o veículo ultrapasse o caminhão?
A resposta correta é: 152,76.
15. Qual é a
rapidez média de um leopardo que corre 281 m em 3,6 s?
A resposta correta é: 78,06 m/s.
16. Quais
das curvas velocidade versus tempo da figura abaixo mostram, mais
apropriadamente, o movimento de um objeto com aceleração positiva que decresce
com o tempo:
A resposta correta é: Curva (c).
17. Qual é,
em m/s2, o módulo da aceleração de um veículo que altera sua
velocidade de 100 km/h para uma parada total de 10 s?
A resposta correta é: 2,8.
18. Se a
posição de uma partícula é dada por x(t) = 21 - 11t + 6t2 (onde t
está em segundos e x em metros), qual é o módulo da velocidade da partícula em
t = 9,0s?
A resposta correta é: 97,00.
19. Se os
sinais da velocidade escalar e da aceleração escalar de uma partícula são
iguais, a velocidade escalar da partícula aumenta. Se os sinais são opostos, a
velocidade escalar diminui.
A resposta correta é: Verdadeiro.
20. Um aluno
deve calcular a ACELERAÇÃO MÉDIA de uma partícula usando um dos gráficos
abaixo. Para tanto, ele traça a reta inclinada que passa pelo ponto P e calcula
seu COEFICIENTE ANGULAR. Qual dos gráficos a seguir representa esse
procedimento? Escolha uma:
DICA:
Acesse a postagem explicando o que é Coeficiente Angular e assista ao vídeo explicativo.
21. Um carro
leva 11,8s para sair do repouso e atingir 113 km/h com aceleração
aproximadamente constante. Qual foi a distância percorrida em metros?
A resposta correta é: 185,2.
22. Um carro
percorre um trecho retilíneo ao longo de uma estrada. Sua distância a um
semáforo é uma função do tempo t dada por x(t) = αt2 - βt3,
onde α = 5,6m/s² e β = 0,076m/s³. Calcule o módulo da velocidade média do carro
entre os instantes t = 0s e t = 4,3s. Dê sua resposta no SI.
A resposta correta é: 22,67.
23. Um carro
para em um semáforo. A seguir ele percorre um trecho retilíneo de modo que sua
distância ao sinal é dada por x(t) = bt2 – ct3, onde b =
6,6m/s² e c = 0,65m/s³. Determine o módulo da velocidade do carro em t = 3,6s.
Dê sua resposta no SI.
Lembre-se das relações. Integral da velocidade dá deslocamento e
derivada da velocidade dá aceleração.
A resposta correta é: 22,25.
24. Um
determinado carro pode sair do repouso e atingir 88 km/h em 8,7 segundos. Qual
é a sua aceleração? Dê sua resposta em m/s2.
A resposta correta é: 2,8.
25. Um
foguete transportando um satélite é acelerado verticalmente a partir da
superfície terrestre. Após 1,37s de seu lançamento, o foguete atravessa o topo
de sua plataforma de lançamento a 58m acima do solo. Depois de 10,0s adicionais
ele se encontra a 1,5km acima do solo. Calcule o módulo da velocidade média do
foguete, em quilômetros por hora, para o trecho do voo correspondente ao
intervalo de 10,0s.
A resposta correta é: 519,12.
26. Um
leopardo africano está de tocaia a 14,7 m a leste de um jipe blindado de
observação. No instante t=0, o leopardo começa a perseguir um antílope situado
a 46,8 m a leste do observador. O leopardo corre ao longo de uma linha reta. A
análise posterior de um vídeo mostra que durante os 2,0 s iniciais do ataque, a coordenada x do
leopardo varia com o tempo de acordo com a equação x=14,7 m +(2,6 m/s2)t2.
Determine o deslocamento do leopardo durante o intervalo entre t1=1,0
s e t2=2,0 s.
A resposta correta é: 7,8.
27. Um
leopardo africano está de tocaia a 16,9 m a leste de um jipe blindado de
observação. No instante t=0, o leopardo começa a perseguir um antílope situado
a 38,7 m a leste do observador. O leopardo corre ao longo de uma linha reta. A
análise posterior de um vídeo mostra que durante os 2,0 s iniciais do ataque, a
coordenada x do leopardo varia com o tempo de acordo com a equação x=16,9 m + (4,8
m/s2)t2. Determine a velocidade média, em m/s, durante o
intervalo entre t1=1,0 s e t2=2,0 s.
A resposta correta é: 14,40.
28. Um
objeto é lançado verticalmente para cima com velocidade inicial de 4,6 m/s.
Qual a altura máxima, em metros, atingida pelo objeto? Despreze a resistência
do ar e considere g = 9,75 m/s².
A resposta correta é: 1,09.
29. Um
objeto está em x = 0 m em t = 0 s e se move ao longo do eixo x. Considere g
igual a 9,8m/s2. De acordo com o gráfico da velocidade versus tempo,
mostrado na figura abaixo:
DETERMINE em
metros, distância total que o objeto percorreu entre os tempos t = 0 e t = 14,5
s.
Tente analisar separadamente cada um dos movimentos. Analise cada trecho
do gráfico, entenda de qual tipo de movimento ele trata. Faça os cálculos em
cada trecho e junte-os no final da questão.
A resposta correta é: 181,9.
30. Um
objeto está em x = 0 m em t = 0 s e se move ao longo do eixo x. Considere g
igual a 9,8m/s2. De acordo com o gráfico da velocidade versus tempo,
mostrado na figura abaixo:
DETERMINE em
metros, a posição final x do objeto em 13,1 s.
A resposta correta é: 40,8.
31. Um
objeto está em x = 0 m em t = 0 s e se move ao longo do eixo x. Considere g
igual a 9,8m/s2. De acordo com o gráfico da velocidade versus tempo,
mostrado na figura abaixo:
DETERMINE em
m/s, o módulo da aceleração do objeto entre 4,8 s e 7,2 s. Multiplique o
resultado por 10.
Tente analisar separadamente cada um dos movimentos. Analise cada trecho
do gráfico, entenda de qual tipo de movimento ele trata. Faça os cálculos em
cada trecho e junte-os no final da questão.
A resposta correta é: 60,0.
32. Um
objeto está em x = 0 m em t = 0 s e se move ao longo do eixo x. Considere g
igual a 9,8m/s2. De acordo com o gráfico da velocidade versus tempo,
mostrado na figura abaixo: DETERMINE em m/s2 , o módulo da
aceleração do objeto entre 5,1 s e 8,6 s. Multiplique o resultado por 10.
Tente analisar separadamente cada um dos movimentos. Analise cada trecho
do gráfico, entenda de qual tipo de movimento ele trata. Faça os cálculos em
cada trecho e junte-os no final da questão.
A resposta correta é: 60,0.
33. Uma
formiga percorre 28 metros em 77 minutos. Qual é a rapidez média dessa formiga
em milímetros por segundo?
A resposta correta é: 6,1 mm/s.
34. Uma
tartaruga percorre 9,1 km em 6,6 horas. Determine a rapidez média dessa
tartaruga em centímetros por segundo.
A resposta correta é: 38,3 cm/s.
35. Uma
partícula parte da origem no sentido positivo do eixo x. Sua função horária da
velocidade é dada por v(t) = 16,0 + 1,6t2, unidades no SI. Determine
a posição da partícula, em relação à origem, quanto t = 9,46s.
A resposta correta é: 602,87.
36. Uma
partícula parte da origem no sentido positivo do eixo x. Sua função horária da
velocidade é dada por v(t) = 17,1 + 9,7t2, unidades no SI. Determine
a posição da partícula, em relação à origem, quanto t = 3,88s.
A resposta correta é: 255,21.
Acesse a postagem explicando o que é Coeficiente Angular e assista ao vídeo explicativo.































Nenhum comentário:
Postar um comentário